物理性能檢測
Physical parameters
Physical parameters
聯系APAS / Contact us
- 地址:天津市西青經濟技術開發區賽達國際工業城A3-2.
- 郵箱:lxc@apas.com.cn
- 電話:022-87920088
- 傳真:請聯系網絡管理員
- 郵編:300385
- 咨詢熱線:13702119190(24小時服務熱線)
物理性能檢測
/ Physical parameters

鋁型材變形量計算方法
產品描述 / Name
本內容主要講述了6063-T5系列延壓鋁型材CB5237-2008標準力學性能測試方法以及性能指標,設計師可以根據本內容計算出不同規格鋁型材的產品性能,用于不同規格框架結構的設計組裝;
022-87920099
可以根據需求進行設計加工,提供上門安裝服務;可以根據特殊需求進行鋁型材開模定制。
* 免費提供工業鋁型材選型手冊 →點擊咨詢
內容來源:http://www.hnwcls.com 作者:武將 發布日期:2020年04月17日 14時28分 閱讀次數:13674 次
| 鋁型材物理性能技術信息 | ||
| 鋁型材執行標準GB5237-2008;表面處理為噴砂-陽極氧化處理,亞光表面; | ||
| 標準供貨長度:國內標準供貨長度為6米,國外標準供貨長度為5.8米; | ||
| Tensile Strength/抗拉強度 | min.260N/mm2 |
|
| Yield Strength/屈服強度 | min.240N/mm2 | |
| Elongation/伸長率 | 8%(T≤3.2mm)or10%(T>3.2~25.0mm) | |
| E-Module/彈性模量 | approx.70,000N/mm2 |
|
| Brinell Hardness/布氏硬度 | HB 75 2.5/187.5 | |
| Coat Thickness/氧化膜厚 | ≥11μ | |
|
||
|
||
| Bending Strength | ||
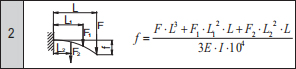
| 鋁型材變形量計算 | ||
|
||
| For deflection calculation refer to formulas as below |
|
|
| 公式中涉及到的變量 | ||
| f(mm) | Deflection/變形量 |
|
| F(N) | Type load/載荷 | |
| L(mm) | Profile length/鋁型材長度 | |
| I(cm^4) | Moment of inertia/慣性矩 |
|
| E(N/mm2) | Modular of elasticity/彈性模量 | |
|
||
| 上述內容主要介紹了6063-T5系列鋁型材一些常用物理參數檢測方式以及計算方法,設計師可以通過上述內容計算出不同規格鋁型材產品的物理性能,以保證不同規格鋁型材框架產品的使用性能; | ||
聯系APAS/ Contact us
天津艾普斯工業鋁型材股份有限公司
聯系電話:022-87920088
企業傳真:(避免惡意廣告)請聯系該企業網絡管理員
服務熱線:13702119190 (24小時服務熱線)
Q Q:534973906
企業郵箱: lxc@apas.com.cn
企業地址:天津市西青經濟技術開發區賽達國際工業城A3-2
聯系電話:022-87920088
企業傳真:(避免惡意廣告)請聯系該企業網絡管理員
服務熱線:13702119190 (24小時服務熱線)
Q Q:534973906
企業郵箱: lxc@apas.com.cn
企業地址:天津市西青經濟技術開發區賽達國際工業城A3-2
采購意向留言:* 為必填













QQ咨詢
電話聯系
聯系電話

在線留言
樣冊下載
